维生素E的“前世”和“今生”
马田, 邓子新, 刘天罡

The past and present of vitamin E
MA Tian, DENG Zixin, LIU Tiangang
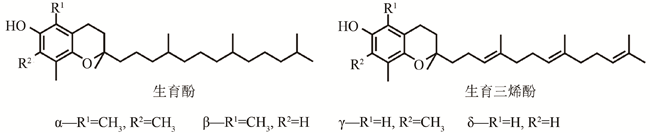
图1 维生素E的结构
Fig. 1 The structure of vitamin E